SA3 marksYear: 2020MediumCBSE Class 10
polynomialsdivision-algorithm
Question
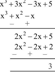
Divide the polynomial f(x)=3x4−x3−3x+5 by the polynomial g(x)=x−1−x2 and verify the division algorithm.
Solution
1

Polynomial long division of 3x⁴-x³-3x+5 by -x²+x-1
+2 marks2
Divisor × Quotient + Remainder
=(−x2+x−1)(x−2)+3=−x3+3x2−3x+5= Dividend
+1 mark